• Предмет: Математика
  • Автор: LJJIK
  • Вопрос задан 9 лет назад

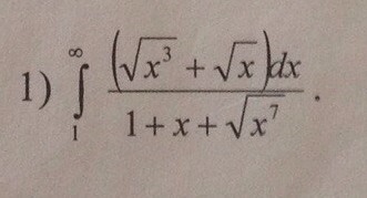
Исследовать на сходимость несобственный интеграл, не вычисляя его.

Приложения:

Ответы

Ответ дал: Аноним
0
displaystyle  intlimits^infty_1 {} frac{ sqrt{x^3}+ sqrt{x}  }{1+x+ sqrt{x^7} }  , dx =intlimits^infty_1 {} frac{sqrt{x^3}}{1+x+sqrt{x^7}}} , dx +intlimits^infty_1 { frac{ sqrt{x} }{1+x+ sqrt{x^7} } } , dx

dfrac{sqrt{x^3}}{1+x+sqrt{x^7}}} leq  dfrac{1}{x^2}
Этот несобственный интеграл сходится по первому признаку сравнения

dfrac{sqrt{x}}{1+x+sqrt{x^7}}} leq  dfrac{1}{x^3}
сходится по первому признаку сравнения

Значит, данный несобственный интеграл сходится
Вас заинтересует