• Предмет: Математика
  • Автор: PelageaM
  • Вопрос задан 9 лет назад

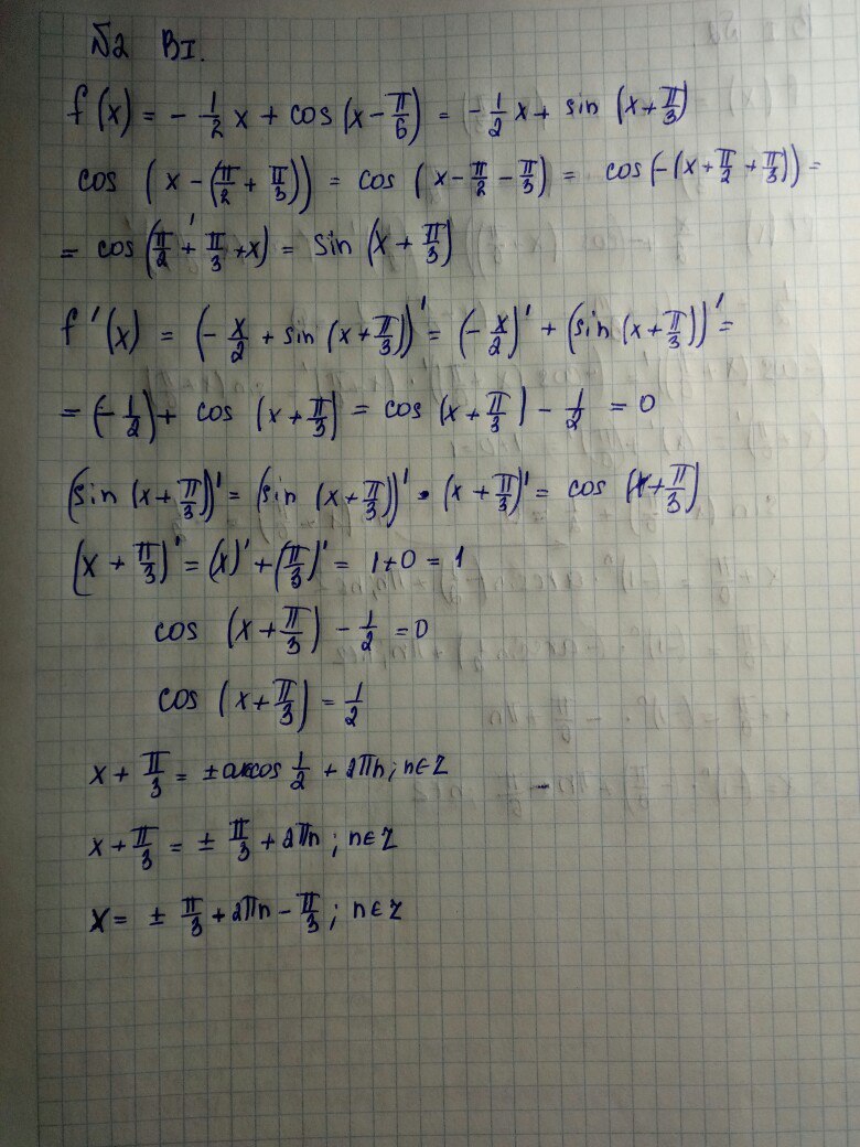
Помогите пожалуйста, найдите значения x, при которых значение производной функции f(x) равно 0, если f(x)=-1/2x+cos(x-П/6)

Ответы

Ответ дал: HEYGAIS
0
Держи решение!) Не очень уверена, что правильно, но всё же)
Приложения:
Вас заинтересует