• Предмет: Математика
  • Автор: maksimova1911
  • Вопрос задан 9 лет назад

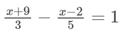
Решить уравнения.помогите пожалуйста

Приложения:

Ответы

Ответ дал: marina28102810
0
к дроби: 5х-45-3х+6=15
2х=54
х=27
Ответ дал: maksimova1911
0
у меня такого
Ответ дал: maksimova1911
0
нет
Ответ дал: marina28102810
0
н -да? а на втором листе что?
Ответ дал: maksimova1911
0
ой,простите
Вас заинтересует