• Предмет: Алгебра
  • Автор: Акакин
  • Вопрос задан 9 лет назад

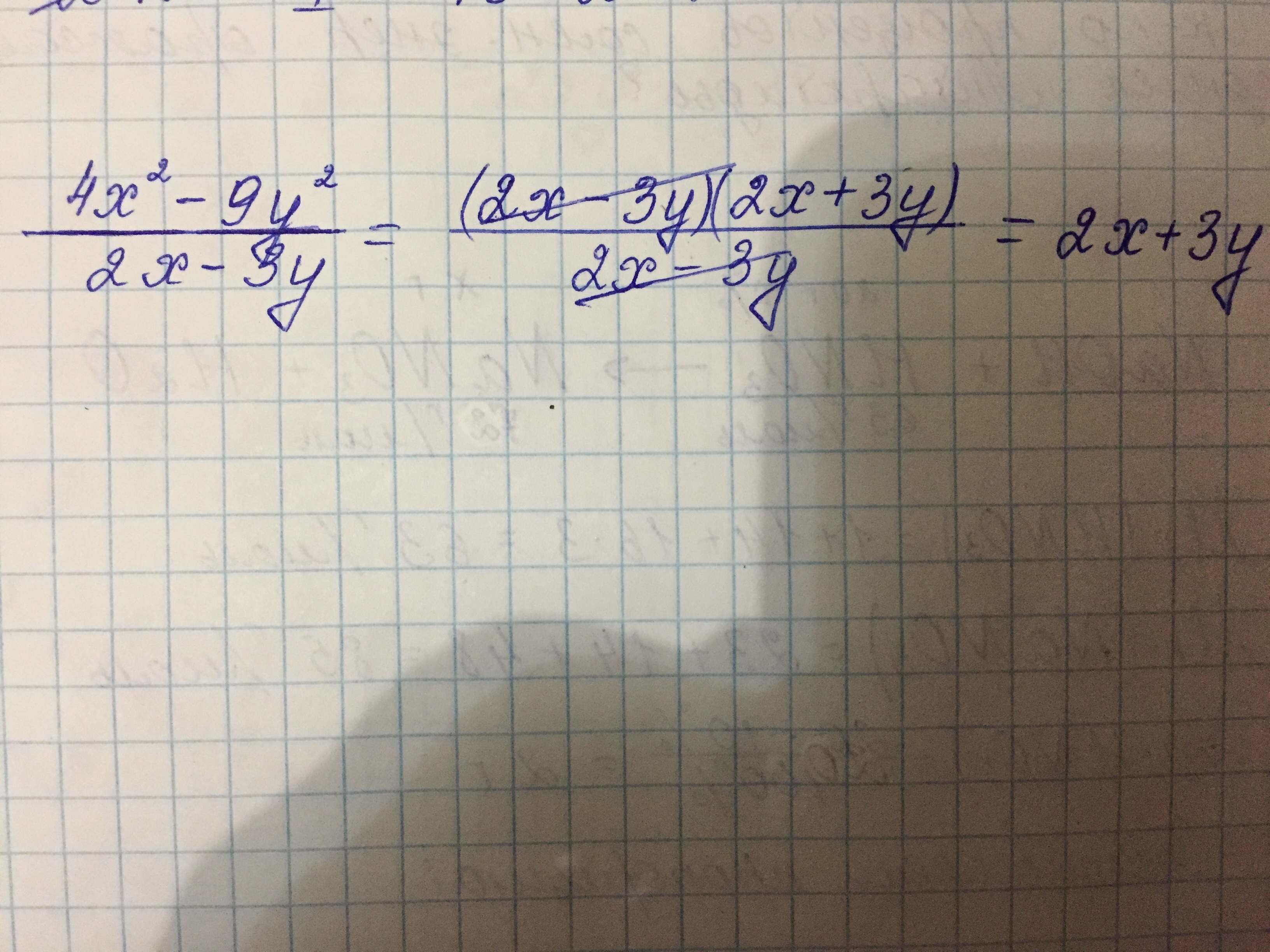
4x2-9y2
2x-3y

Сократите дробь.

Ответы

Ответ дал: ВикаВикторовна
0
(4х²-9у²)/(2х-3у) = ((2х)²-(3у)²)/(2х-3у) = ((2х-3у)(2х+3у))/(2х-3у) = 2х+3у
Ответ дал: Nilu2002
0
.........................
Приложения:
Вас заинтересует
10 лет назад