Ответы
Ответ дал:
0
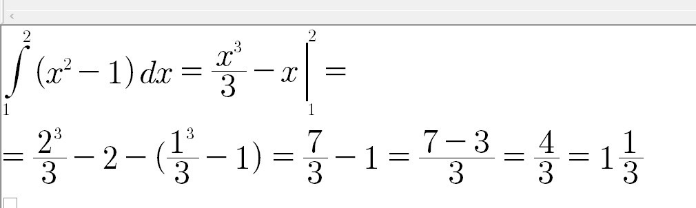
см фото + решение
==========================
==========================
Приложения:


Вас заинтересует
2 года назад
2 года назад
6 лет назад
6 лет назад
9 лет назад
9 лет назад