сторона квадрата равна 4√2.найдите радиус окружности,описанной около этого квадрата.
Приложения:
Ответы
Ответ дал:
0
Это двадцать знаков.
Приложения:
Ответ дал:
0
что то не понял
Ответ дал:
0
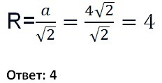
Просто формула радиуса описанной вокруг квадрата окружности.
Ответ дал:
0
Это можно решить еще и теоремой Пифагора,с²=а²+в²,получается (4√2)²=
=4²=16=√16=4,а еще легче в таких задачах сокращать √из числа ,то есть просто убирать √2 будет ответ,начало,то есть 4.
=4²=16=√16=4,а еще легче в таких задачах сокращать √из числа ,то есть просто убирать √2 будет ответ,начало,то есть 4.
Приложения:
Вас заинтересует
2 года назад
2 года назад
7 лет назад
7 лет назад
10 лет назад
10 лет назад