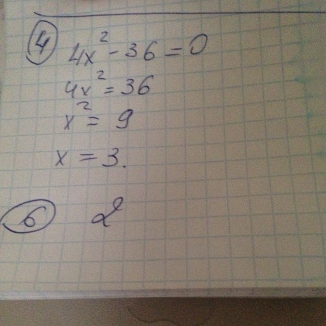
4. . Решить уравнение 4х2 – 36 = 0.
5. Найти площадь прямоугольного треугольника, если один катает равен 11, а второй катет на 3 больше первого.
6. Укажите номера верных утверждений.
1) Если три стороны одного треугольника пропорциональны трём сторонам другого треугольника, то треугольники подобны.
2) Сумма смежных углов равна 180°.
3) Любая высота равнобедренного треугольника является его биссектрисой.
8. Постройте график функции у = х2 - 4х. При каких значениях х функция принимает значения, большие 0?
Ответы
Ответ дал:
0
4. 4x2=36
(4×4)x=36
4x=36/4
4x=9
x=2 целых 1/4
(4×4)x=36
4x=36/4
4x=9
x=2 целых 1/4
Ответ дал:
0
4,6.................
Приложения:
Вас заинтересует
2 года назад
2 года назад
7 лет назад
7 лет назад
10 лет назад
10 лет назад