Ответы
Ответ дал:
0
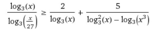
Решение такое изи))))))))))))))
Приложения:

Ответ дал:
0
неправильно сводите к общему знаменателю
Ответ дал:
0
К общему знаменателю верно сведено. Только не учтил ОДЗ
Ответ дал:
0
:))) там должно быть -2log3 x без квадрата))))
Ответ дал:
0
А ну почти
Ответ дал:
0
Перепишет
Вас заинтересует
2 года назад
6 лет назад
6 лет назад
9 лет назад
9 лет назад
10 лет назад