Ответы
Ответ дал:
0
#1
40a²b*(-0,6a²b³)=-24a⁴b⁴
#
(4³)^5*4^7)/(4^5)⁴=(4^15*4^7)/(4^20)=4²=16
#3
40a²b*(-0,6a²b³)=-24a⁴b⁴
#
(4³)^5*4^7)/(4^5)⁴=(4^15*4^7)/(4^20)=4²=16
#3
Приложения:
Ответ дал:
0
Спасибоооо!!!
Ответ дал:
0
Номер 5-2)
)))))))))))
)))))))))))
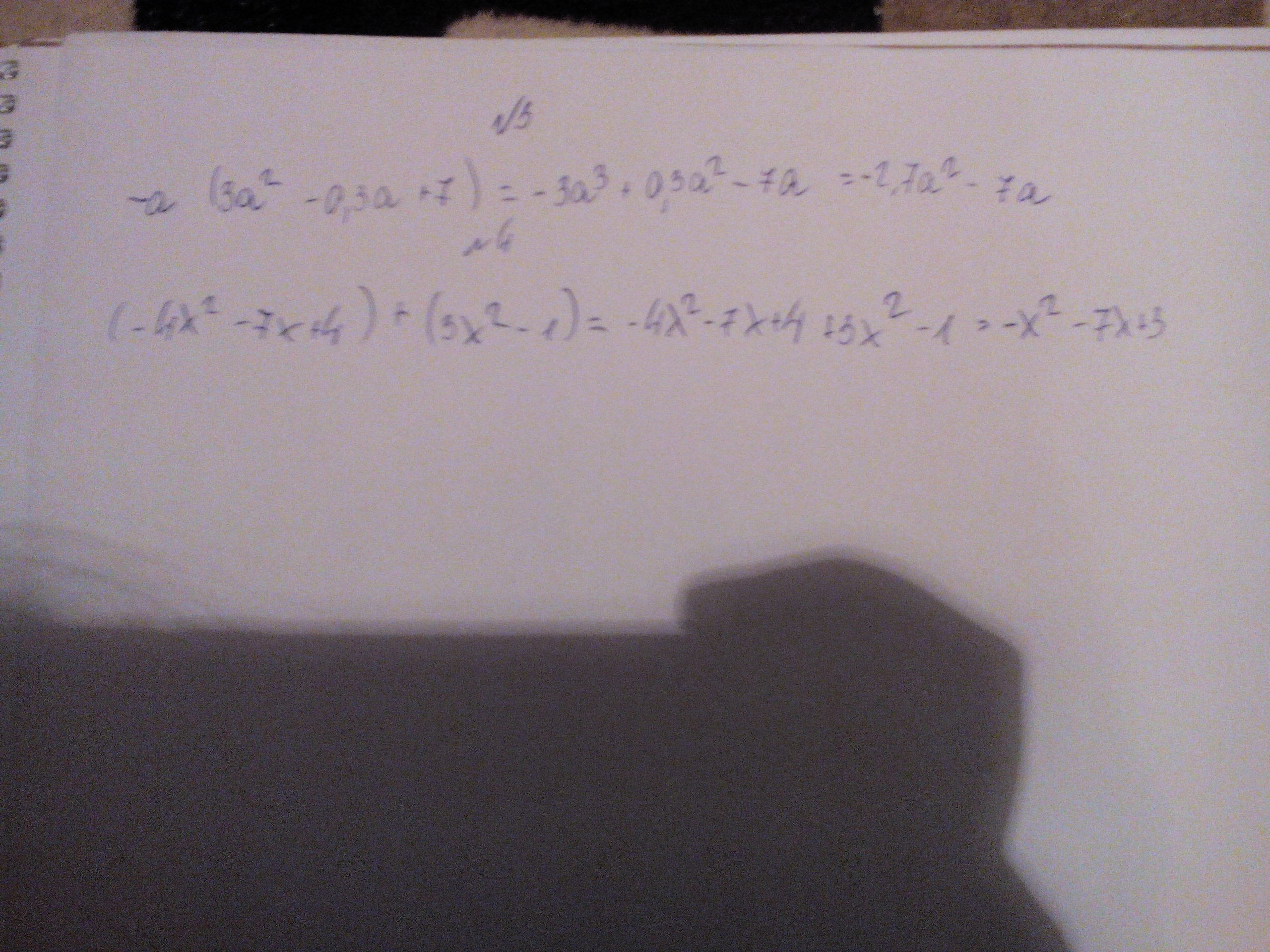
Приложения:
Ответ дал:
0
Спасиб))
Вас заинтересует
2 года назад
2 года назад
10 лет назад
10 лет назад
10 лет назад
10 лет назад