Ответы
Ответ дал:
0
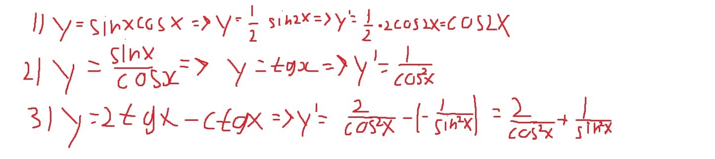
Решение в приложении ниже:
Если, где-то условие не совпадает - напиши)
Если есть вопросы, так же спрашивай в ЛС или комментарии))
Если, где-то условие не совпадает - напиши)
Если есть вопросы, так же спрашивай в ЛС или комментарии))
Приложения:
Вас заинтересует
2 года назад
7 лет назад
7 лет назад
9 лет назад
10 лет назад