Ответы
Ответ дал:
0
Ответ + решение на картинке
Приложения:

Ответ дал:
0
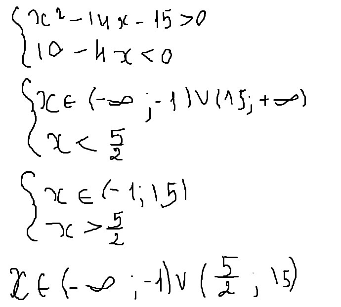
Отношение больше нуля если числитель и знаменательно одного знака:
1) x^2-14x-15 >0 Дискриминант D=196+60=256, кори х1=(14+√256)/2=15 и х2=(14-√256)/2=-1. То есть x²-14x-15 >0 при х<-1 и при х>15. 10-4x >0 при х<2,5. В итоге х<-1.
2) x²-14x-15 <0 при х от -1 до 15. 10-4x <0 при х>2,5. В итоге х от 2,5 до 15.
Ответ: х<-1 и х в диапазоне от 2,5 до 15, крайние точки исключены.
1) x^2-14x-15 >0 Дискриминант D=196+60=256, кори х1=(14+√256)/2=15 и х2=(14-√256)/2=-1. То есть x²-14x-15 >0 при х<-1 и при х>15. 10-4x >0 при х<2,5. В итоге х<-1.
2) x²-14x-15 <0 при х от -1 до 15. 10-4x <0 при х>2,5. В итоге х от 2,5 до 15.
Ответ: х<-1 и х в диапазоне от 2,5 до 15, крайние точки исключены.
Приложения:

Вас заинтересует
2 года назад
2 года назад
7 лет назад
7 лет назад
9 лет назад
10 лет назад
10 лет назад