• Предмет: Математика
  • Автор: siammei
  • Вопрос задан 2 года назад

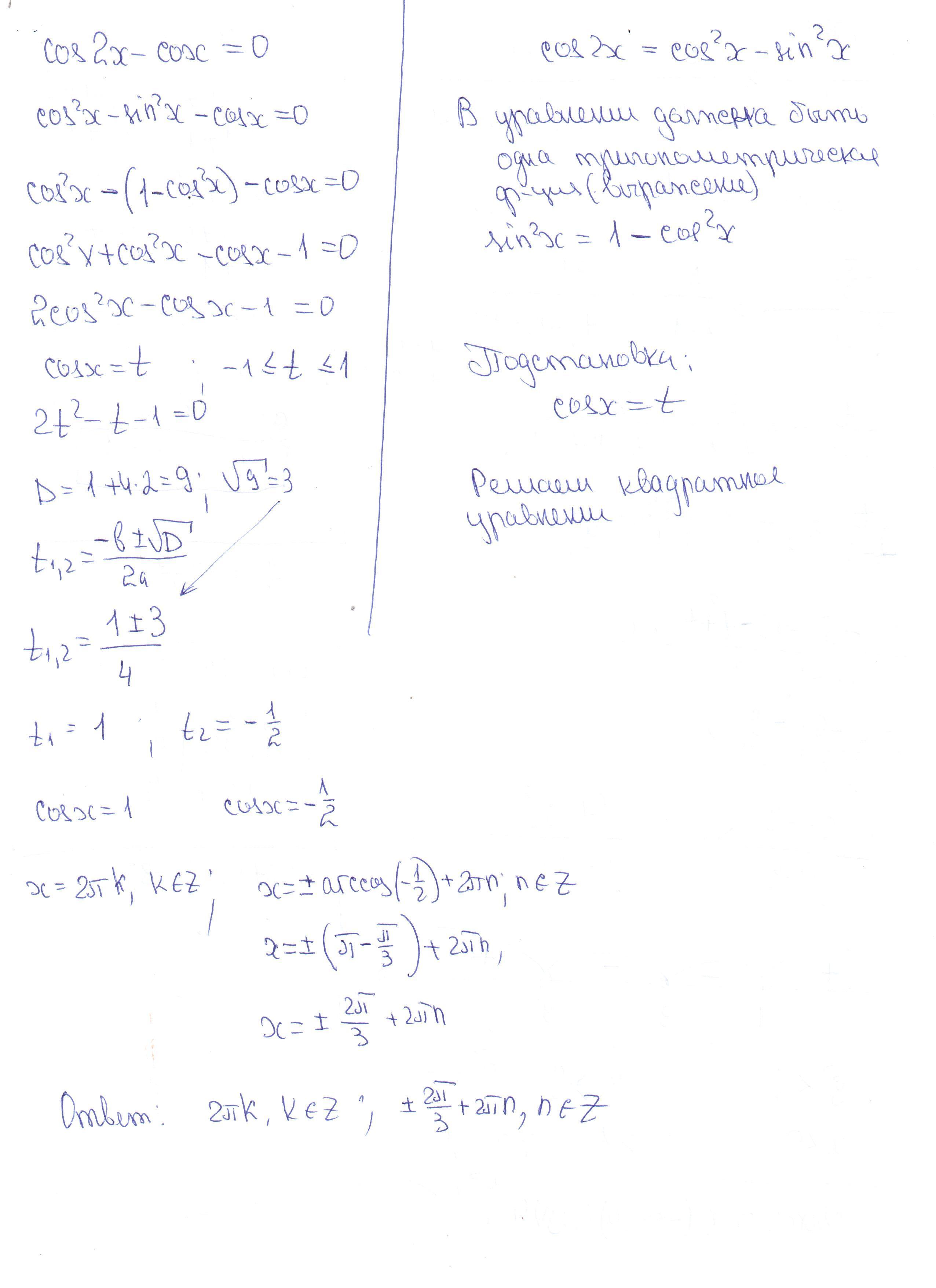
Решить уравнение cos 2x - cos x = 0
И пожалуйста объясните

Ответы

Ответ дал: nikas99
1
Ответ смотри ниже.................
Приложения:

Аноним: Там двойной аргумент, а не косинус в квадрате. выносить за скобки нельзя.
siammei: Упс, cos^2 x - cos x = 0 - вот так можно пожалуйста
Аноним: Если у вас косинус в квадрате, тогда предложенное выше решение (ход решения правильный). Но cosx=1, ответ х=2pi n, потеряна двойка. Посмотрите у меня , там тоже cosx=1.
siammei: Спасибо
Аноним: Но в предложенном решении (не моём) двойка тоже стоит не в степени. Но дальше ход решения верный с учётом , что поправьте ответ, я написала выше об об этом. Моё решение тоже посмотрите, а вдруг попадётся двойной аргумент. Удачи.
Ответ дал: Аноним
1
Решение и пояснения смотри в приложении
Приложения:

siammei: Упс, cos^2 x - cos x = 0 - вот так можно пожалуйста
Вас заинтересует