• Предмет: Алгебра
  • Автор: НоВыЙ13
  • Вопрос задан 2 года назад

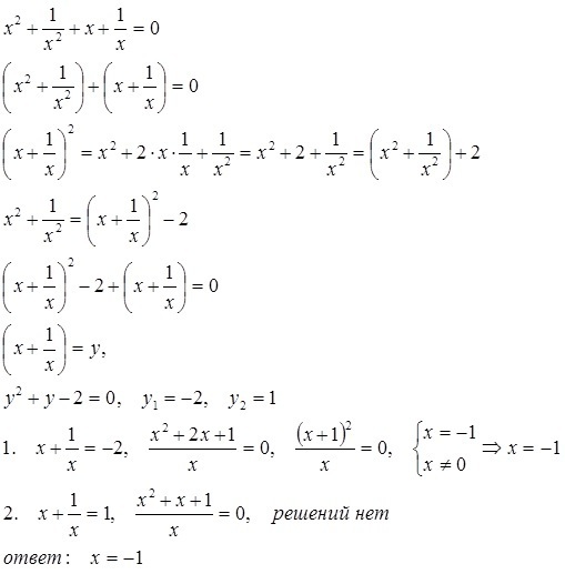
Решите уравнение:
 x^{2} + \frac{1}{ x^{2} } +x + \frac{1}{x}  = 0

Ответы

Ответ дал: kirichekov
1
решение во вложении--------------------
Приложения:
Вас заинтересует