Ответы
Ответ дал:
0
решим систему:
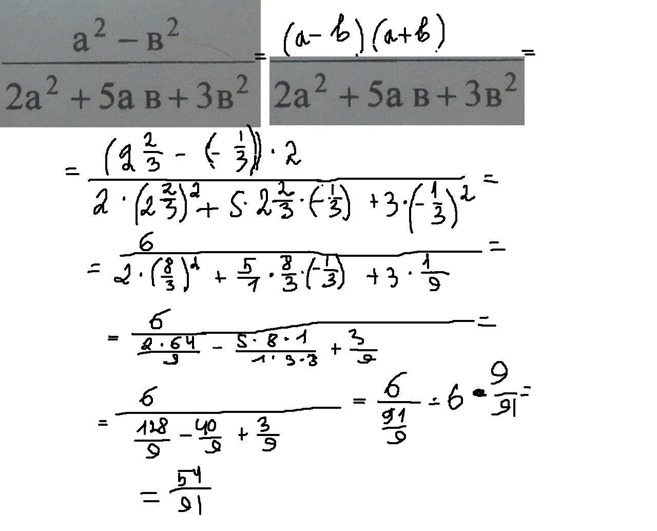
а+в=2
а-2в=3
а=2-в
2-в-2в=3
2-3в=3
-3в=1
в= -1/3
а=2-2*(-1/3)=2 2/3
дальше в приложенном файле
а+в=2
а-2в=3
а=2-в
2-в-2в=3
2-3в=3
-3в=1
в= -1/3
а=2-2*(-1/3)=2 2/3
дальше в приложенном файле
Приложения:
Ответ дал:
0
спасибо
Вас заинтересует
2 года назад
2 года назад
7 лет назад
7 лет назад
10 лет назад
10 лет назад
10 лет назад