Ответы
Ответ дал:
0
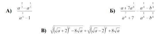
a) Пусть а∧(1/3) = b, тогда получается (b∧2 -b) / (b-1) = b*(b-1)/(b-1) = b/
Ответ: а∧(1/3).
б) Пусть а∧(1/8) = x, b∧(1/8) = y, тогда
(x∧8 + 7*x)/(x∧7 +7) - (x∧2 - b∧2)/(x-y) = x - (x+y) = -y
Ответ: b∧(1/8)
в) (a+ 4√a+4 - 8*√a)∧1/2 + (a- 4√a+4 + 8*√a)∧1/2 = (a- 4√a+4)∧1/2 + (a+ 4√a+4)∧1/2 = ((√a-2)∧1/2)∧2 + ((√a+2)∧1/2)∧2 = √a-2 + √a+2 = 2√a
Ответ: 2√a.
Ответ: а∧(1/3).
б) Пусть а∧(1/8) = x, b∧(1/8) = y, тогда
(x∧8 + 7*x)/(x∧7 +7) - (x∧2 - b∧2)/(x-y) = x - (x+y) = -y
Ответ: b∧(1/8)
в) (a+ 4√a+4 - 8*√a)∧1/2 + (a- 4√a+4 + 8*√a)∧1/2 = (a- 4√a+4)∧1/2 + (a+ 4√a+4)∧1/2 = ((√a-2)∧1/2)∧2 + ((√a+2)∧1/2)∧2 = √a-2 + √a+2 = 2√a
Ответ: 2√a.
Вас заинтересует
2 года назад
2 года назад
7 лет назад
7 лет назад
9 лет назад
9 лет назад
10 лет назад