• Предмет: Математика
  • Автор: Hunter068
  • Вопрос задан 9 лет назад

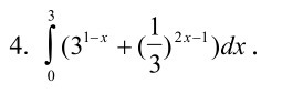
помогите пожалуйста
вычислить интегралы

Приложения:

Ответы

Ответ дал: Скарлетт18
0
Всё написала подробно)
Приложения:
Ответ дал: Hunter068
0
спасибо :))))))))))))))
Ответ дал: Hunter068
0
ток ответ какой то странный -_-
Вас заинтересует