• Предмет: Алгебра
  • Автор: yfhrjnbr0
  • Вопрос задан 9 лет назад

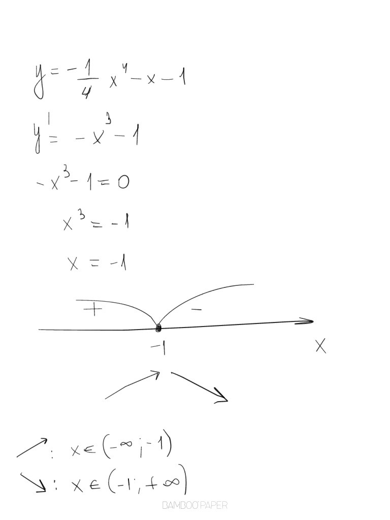
Найдите интервалы возрастания и убывания функции у= -1/4x^4-x-1

Ответы

Ответ дал: KseniaHarlequin
0
Решение данного задания
Приложения:
Вас заинтересует