• Предмет: Физика
  • Автор: lenaermak7671
  • Вопрос задан 9 лет назад

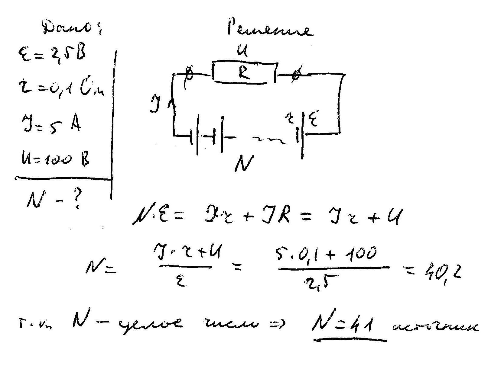
какое число источников с ЭДС 2,5В и внутренним сопротивлением 0,1 Ом надо соединить последовательно в батарею, чтобы напряжение во внешней цепи было равно 100В при силе тока 5А?

Ответы

Ответ дал: valshev
0
Держи ответ  в файле!
Приложения:
Вас заинтересует