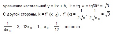
В какой точке графика функции f:R⇒R, f(x)=√x, следует провести касательную, чтобы она образовала угол в 60градусов с положительным направлением оси Оx?
Ответы
Ответ дал:
0
использовано определение углового коэффициента касательной к графику функции, формула производной степенной функции
Приложения:

Вас заинтересует
2 года назад
8 лет назад
10 лет назад
10 лет назад
10 лет назад