• Предмет: Алгебра
  • Автор: nata0007
  • Вопрос задан 11 лет назад

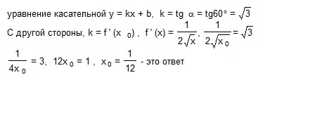
В какой точке графика функции f:R⇒R, f(x)=√x, следует провести касательную, чтобы она образовала угол в 60градусов с положительным направлением оси Оx? 

Ответы

Ответ дал: okneret
0
использовано определение углового коэффициента касательной к графику функции, формула производной степенной функции
Приложения:
Вас заинтересует