Решите уравнение, срочно надо даю 30 балов!!!!
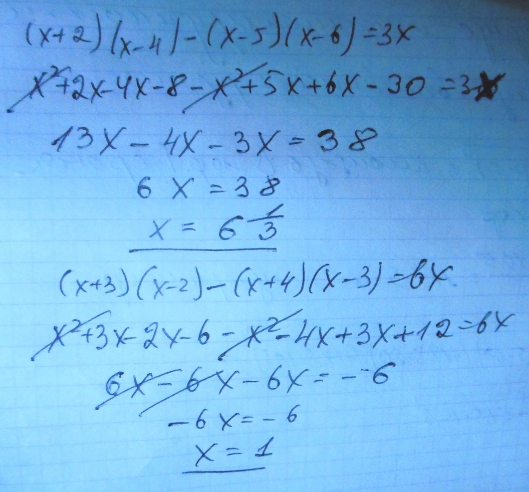
1.(x+2)(x-4)-(x-5)(x-6)=3x
2.(x+3)(x-2)-(x+4)(x-3)=6x
Ответы
Ответ дал:
0
!!!!!!!!!!!!!!!!!!!!!!!!!
Приложения:

Вас заинтересует
2 года назад
7 лет назад
7 лет назад
9 лет назад
10 лет назад