• Предмет: Математика
  • Автор: Аноним
  • Вопрос задан 2 года назад

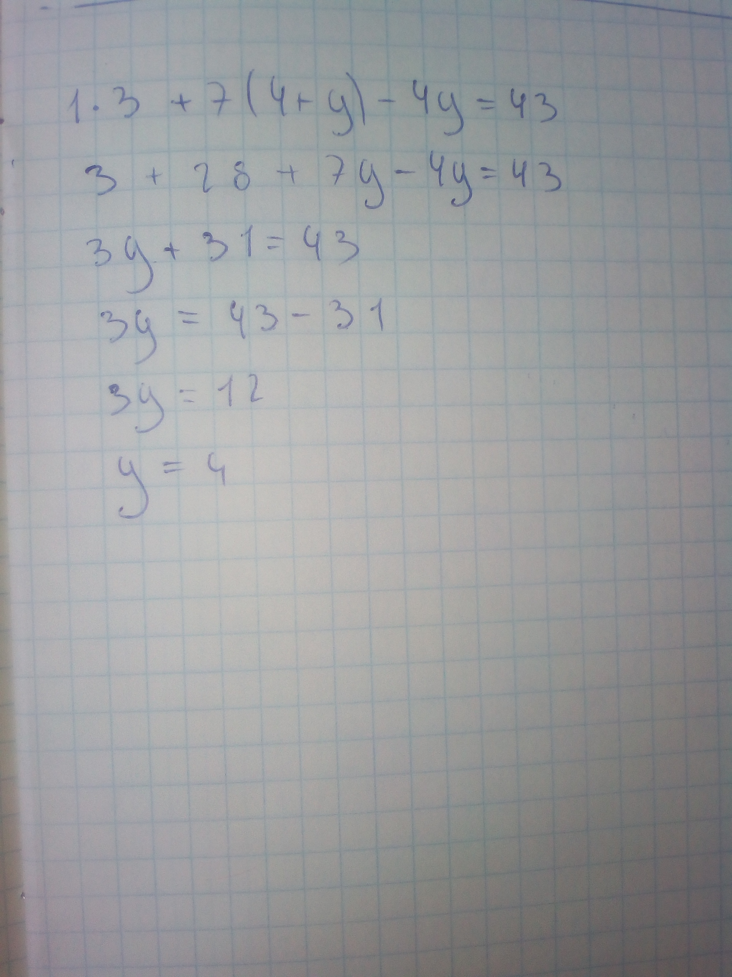
Решите плизз рассписывая подробно:1*3+7(4+y)-4y=43

Ответы

Ответ дал: Katuurina
0
На фото подробное решение уравнения
Приложения:
Ответ дал: sasha3174
0
Понятно ? Удачи))))))))
Приложения:
Вас заинтересует