Сократите дробь. Очень надо
Приложения:

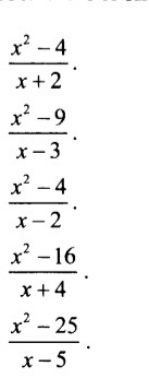
Flash3146:
(x²-4)/(x+2)=(x-2)(x+2)/(x+2)=(x-2)/1
Ответы
Ответ дал:
1
Все легко, главно немного вникнуть
Приложения:

Вас заинтересует
1 год назад
1 год назад
2 года назад
2 года назад
3 года назад