ПОМОГИТЕ ПОЖАЛУЙСТА!
9 и 12
с объяснением, если не трудно
Приложения:

Аноним:
Мной уже был добавлен ответ
Ответы
Ответ дал:
1
....................................
Приложения:

Ответ дал:
1
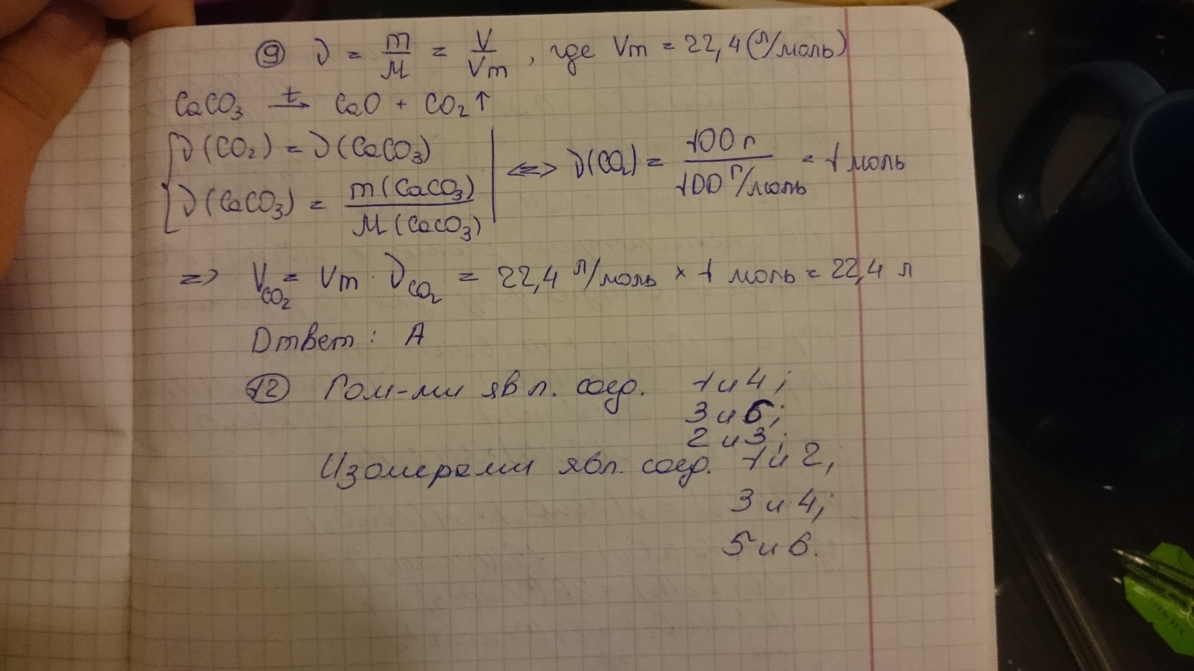
9.
Напишем реакцию:
CaCO3--->CaO+CO2
M(CaCO3)=100г/моль
M(CO2)=44г/моль
Теперь составляем пропорцию:
m(CaCO3)/M(CaCO3) : m(CO2)/M(CO2)
m(CO2)=(100*44)/100=44г
n(CO2)=m/M=44/44=1моль
V(CO2)=n*Vm=1*22.4=22.4л
Ответ: A)22.4
12.
Если просто , то гомологи это вещества отличающиеся на группу CH2.Изомеры - вещества имеющие одинаковый состав но различное строение.Гомологи:одно из веществ (1,2,5,6) и другое (3,4). Изомеры:вещества 1,2,5,6. ; и 3,4.
Напишем реакцию:
CaCO3--->CaO+CO2
M(CaCO3)=100г/моль
M(CO2)=44г/моль
Теперь составляем пропорцию:
m(CaCO3)/M(CaCO3) : m(CO2)/M(CO2)
m(CO2)=(100*44)/100=44г
n(CO2)=m/M=44/44=1моль
V(CO2)=n*Vm=1*22.4=22.4л
Ответ: A)22.4
12.
Если просто , то гомологи это вещества отличающиеся на группу CH2.Изомеры - вещества имеющие одинаковый состав но различное строение.Гомологи:одно из веществ (1,2,5,6) и другое (3,4). Изомеры:вещества 1,2,5,6. ; и 3,4.
Вас заинтересует
1 год назад
1 год назад
2 года назад
3 года назад
3 года назад
8 лет назад