Ответы
Ответ дал:
3
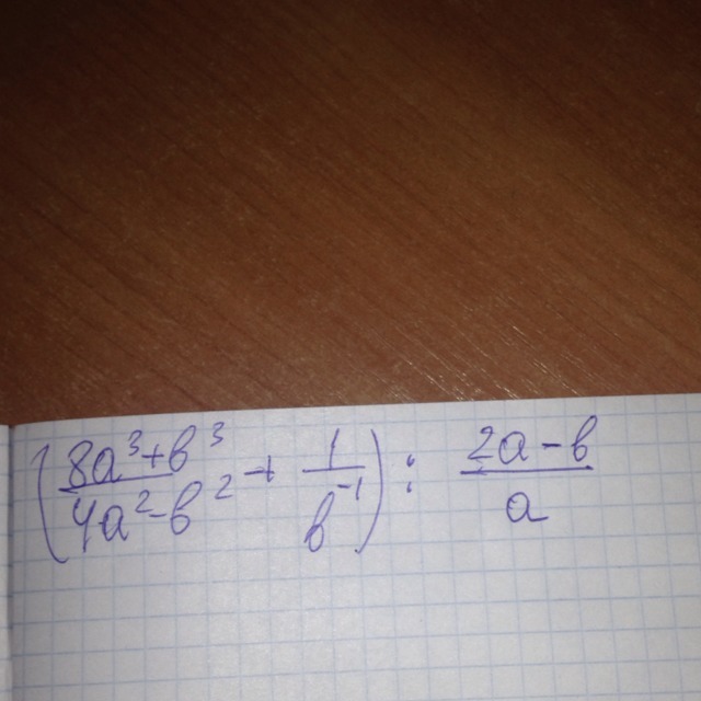
Решаем по действиям:
1. Сумма в скобках
(8*а³+в³)/(4*а²-в²)+1/в^(-1)=(8*a³+в³)/(4*а²-в²)+в=(общий знаменатель 4*а²-в²
=(8*а³+8³+в*(4*а²-в²))/(4*а²-в²)=(8*а³+в³+4*а²*в-в³)/(4*а²-в²)=
=(8*а³+4*а²*в)/(4*а²-в²)
2. Деление заменим умножением, перевернув дробь (поменяем местами числитель и знаменатель))
((8*а³+4*а²*в)*а)/((4*а²-в²)*(2*а-в))=(4*а³*(2*а+в))/((2*а+в)*(2*а-в)*(2*а-в))=
=(сократим на (2*а+в)=4*а³/(2*а-в)²
1. Сумма в скобках
(8*а³+в³)/(4*а²-в²)+1/в^(-1)=(8*a³+в³)/(4*а²-в²)+в=(общий знаменатель 4*а²-в²
=(8*а³+8³+в*(4*а²-в²))/(4*а²-в²)=(8*а³+в³+4*а²*в-в³)/(4*а²-в²)=
=(8*а³+4*а²*в)/(4*а²-в²)
2. Деление заменим умножением, перевернув дробь (поменяем местами числитель и знаменатель))
((8*а³+4*а²*в)*а)/((4*а²-в²)*(2*а-в))=(4*а³*(2*а+в))/((2*а+в)*(2*а-в)*(2*а-в))=
=(сократим на (2*а+в)=4*а³/(2*а-в)²
yugolovin:
А можно было на 2a+b сразу сократить. Хотя, возможно, это и не упростило бы выкладку)
Я с вами согласна. Именно так и удобнее сокращать. Здесь явно сумма кубов. И вряд-ли там деление в условии, но что написано, то и есть.
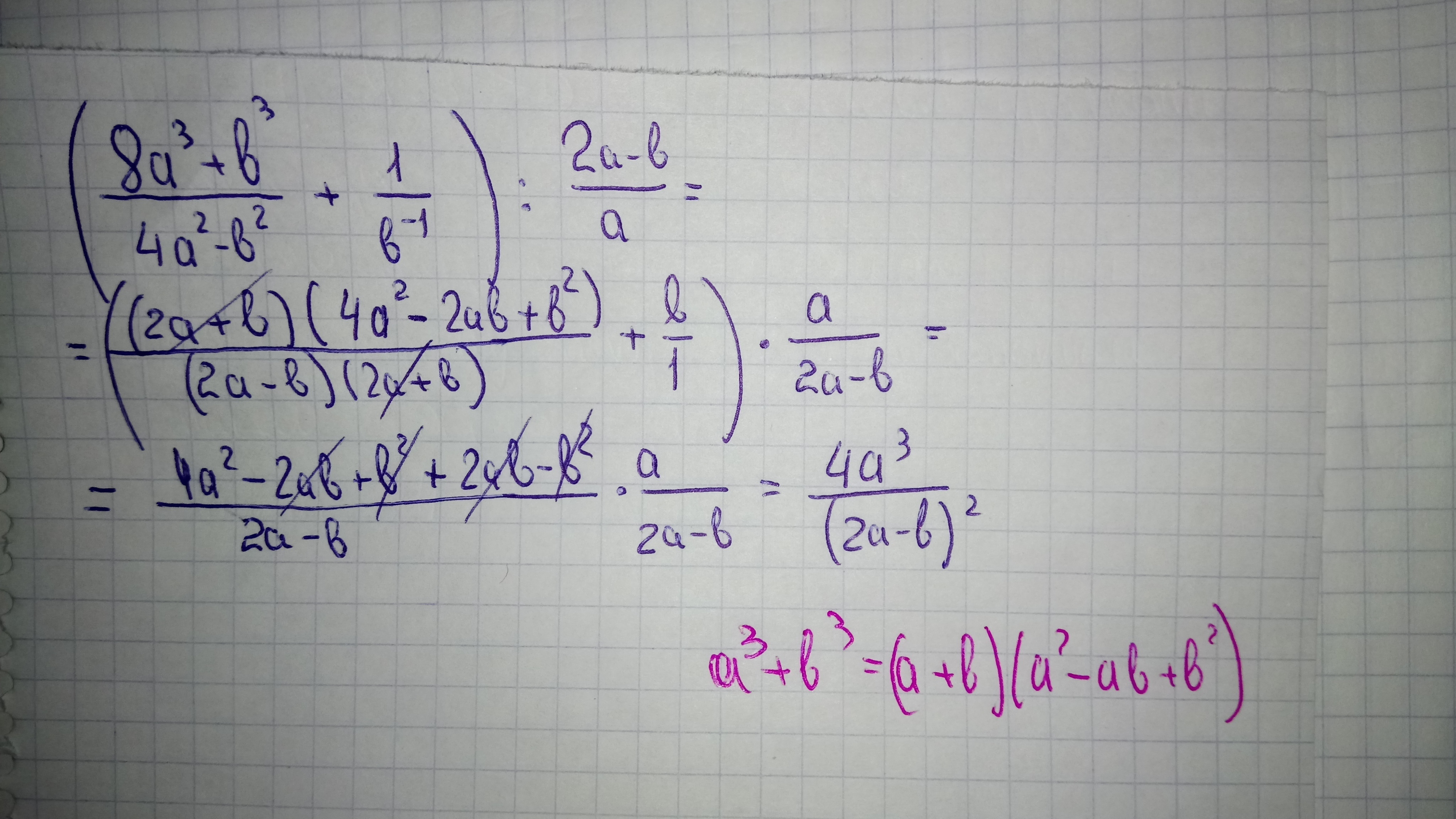
Ответ дал:
2
Решение с использованием разложения суммы кубов на множители.
Приложения:
Вас заинтересует
2 года назад
2 года назад
2 года назад
2 года назад
3 года назад
3 года назад
9 лет назад