Пусть (x0; y0) решение системы уравнений 
{y=sqrt(x^2+6x+9)-3
{3x-2y+3=0
Найдите произведение x0 * y0
                        
                                    Приложения:
                     
                            Ответы
                                            Ответ дал: 
                                                                                    
                                        
                                            
                                                
                                                
                                                
                                                    0
                                                
                                            
                                        
                                    
                                        Смотри ответ на фотографии.
                                    
                                                Приложения:
                     
                            
                    efwfewe:
                    А какой именно корень принимается за x0 и y0? Корни 1ой системы или 2ой?
                
            
                    
                    а корни одинаковы, что в перво системе, что во второй
                
            
                    
                    это я понимаю, вопрос на будущее, просто если бы они были разные.
                
            
                    
                    тогда было бы два призведентя
                
            
                    
                    призведения
                
            
                    
                    но ведь в ответ вводится только 1 число. Или это предусмотрено в таких уравнениях?
                
            
                    
                    Это должно быть предусмотрено в ответе
                
            
                    
                    как првила там появляются на них условие
                
            
                                            Ответ дал: 
                                                                                    
                                        
                                            
                                                
                                                
                                                
                                                    2
                                                
                                            
                                        
                                    
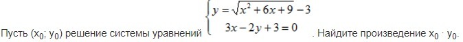
                                        {y=√(x+3)²-3⇒y=|x+3|-3
{3x-2y+3=0
1)x<-3
y=-x-3-3=-x-6
подставим во 2
3x-2(-x-6)+3=0
3x+2x+12+3=0
5x+15=0
5x=-15
x=-3 не удов усл
2)x≥-3
y=x+3-3
y=x
3x-2x+3=0
x=-3
y=-3
x*y=-3*(-3)=9
Ответ 9
                                        
                                                {3x-2y+3=0
1)x<-3
y=-x-3-3=-x-6
подставим во 2
3x-2(-x-6)+3=0
3x+2x+12+3=0
5x+15=0
5x=-15
x=-3 не удов усл
2)x≥-3
y=x+3-3
y=x
3x-2x+3=0
x=-3
y=-3
x*y=-3*(-3)=9
Ответ 9
                    
                    Можно вопрос, почему в первой системе, при условии, что х<0, вы пишите, что х=-3 не подходит, что то не сходится!!
                
            
                    
                    1 система не имеет решения,потому что взят промежуток x<-3,а получили х=-3!
                
            
                    
                    amin вы отправили на исправлениеhttps://znanija.com/task/24920538,но там нет возможности.Так как вы не принимаете моих сообщений,вынуждена писать здесь.
                
            
                    
                    Не только у вас, у меня личка не работает ((((
                
            
                    
                    Отправьте заново
                
            
                    
                    Отправил
                
            Вас заинтересует
                
                        1 год назад
                    
                
                        2 года назад
                    
                
                        3 года назад
                    
                
                        8 лет назад