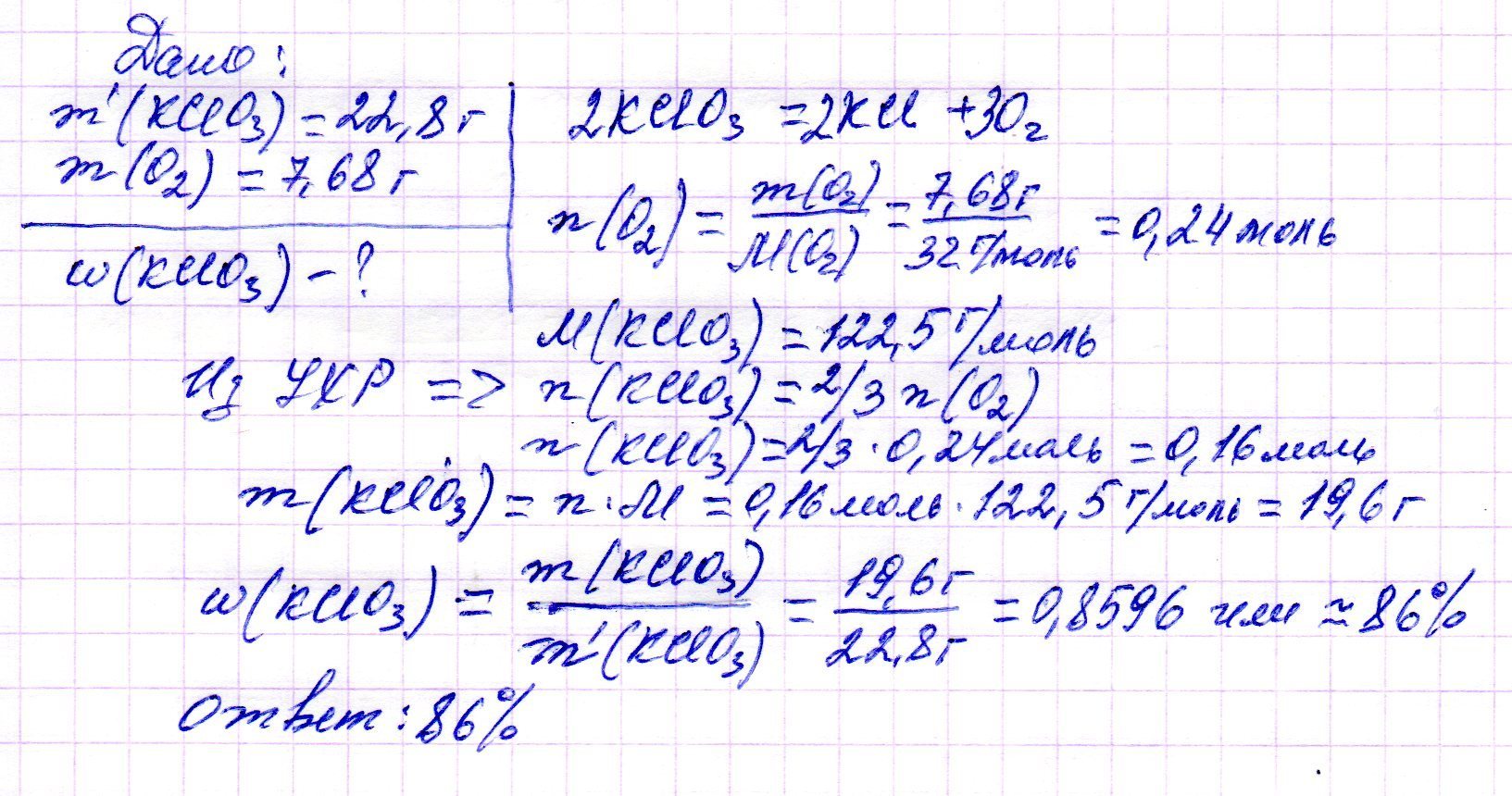
Загрязненный образец соли KClO3 массой 22,28 г нагрели в присутствии катализатора до
постоянной массы. При этом соль разложилась на хлорид калия и кислород, а масса образца
уменьшилась на 7,68 г. Известно, что при нагревании не образовалось никаких посторонних веществ,
а примеси не разлагались и не улетучивались. Вычислите массовую долю (%) KClO3 в исходном
образце
Ответы
Ответ дал:
2
........................................................................
Приложения:

Вас заинтересует
1 год назад
1 год назад
2 года назад
2 года назад
3 года назад
3 года назад
8 лет назад