• Предмет: Алгебра
  • Автор: elyakamalova
  • Вопрос задан 2 года назад

Пожалуйста помогите упростить выражение,никак не могу вспомнить как это решить

Приложения:

Ответы

Ответ дал: drwnd
1
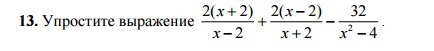
 \frac{2(x+2)}{x-2} +  \frac{2(x-2)}{x+2} -  \frac{32}{(x-2)(x+2)}
 \frac{2(x+2)^2+2(x-2)^ 2 - 32}{(x-2)(x+2)}
 \frac{2(x^2+4x+4) +2(x^2-4x+4)-32}{(x-2)(x+2)}
 \frac{2x^2+8x+8+2x^2-8x+8-32}{(x-2)(x+2)}
 \frac{4x^2-16}{(x-2)(x+2)}
 \frac{4(x^2-4)}{(x^2-4)}
\frac{4(x^2-4)}{(x^2-4)}  = 4
Ответ дал: skvrttt
0
\frac{2(x+2)}{x-2}+\frac{2(x-2)}{x+2}-\frac{32}{x^2-4}=\frac{2(x+2)^2+2(x-2)^2-32}{x^2-4}=\frac{2[(x+2)^2+(x-2)^2-16]}{x^2-4}=\\\frac{2[x^2+4x+4+x^2-4x+4-16]}{x^2-4}=\frac{2[2x^2-8]}{x^2-4}=\frac{4[x^2-4]}{x^2-4}=4
Вас заинтересует
3 года назад