• Предмет: Математика
  • Автор: LazyEvil
  • Вопрос задан 2 года назад

Помогите, пожалуйста, упростить выражение) И как можно подробнее)

Приложения:

Ответы

Ответ дал: skvrttt
1
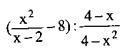
(\frac{x^2}{x-2}-8):\frac{4-x}{4-x^2}=(\frac{x^2}{x-2}-8\frac{x-2}{x-2}):\frac{x-4}{x^2-4}=\frac{x^2-8(x-2)}{x-2}*\frac{x^2-4}{x-4}=\\\frac{x^2-8x+16}{x-2}*\frac{(x-2)(x+2)}{x-4}=\frac{(x-4)^2}{1}*\frac{x+2}{x-4}=(x-4)(x+2)=x^2-2x-8

LazyEvil: объясните, пожалуйста, почему во втором действии х и 4 поменялись местами?)
skvrttt: 4 – x = –(x – 4), ведь так, верно же?)
skvrttt: то же самое и со знаменателем
skvrttt: в итоге минусы сокращаются, образуя положительную дробь
LazyEvil: Спасибо большое))
Ответ дал: sedinalana
0
1)x²/(x-2)-8=(x²-8x+16)/(x-2)=(4-x)²/(x-2)
(4-x)²/(x-2):(4-x)/(2-x)(2+x)=(4-x)²/(x-2):(2-x)(2+x)/(4-x)=-(4-x)(x+2)=
=(x-4)(x+2)=x²+2x-4x-8=x²-4x-8
Вас заинтересует
3 года назад