Здравствуйте. Подскажите, пожалуйста, как решить следующую задачу (если можно, с подробным объяснением):
Чему равен результат упрощения выражения: log2 51 − log2 17 − log2 24
Ответы
Ответ дал:
1
log2 51 − log2 17 = log2(51/17)= log 2(3)
log 2(3)- log 2(24)=log2(3/24)=log2(1/8)
log2(1/8)=-3 (2^(-3)=1/8)
log 2(3)- log 2(24)=log2(3/24)=log2(1/8)
log2(1/8)=-3 (2^(-3)=1/8)
reshator2000:
расписал
всё таки лучше по действиям
Спасибо за помощь!
Ответ дал:
2
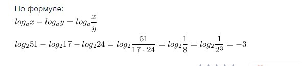
По формуле:


Приложения:
Спасибо. Вот не понятно, как из предпоследнего выражения получили -3?
(2^(-3)=1/8)
Смотри. Логарифм числа - это степень, в которую нужно возвести основание, чтобы получить определённое число
Основание - это 2, а само число - это 1/8. Чтобы из 2 получить 1/8, нужно возвести 2 в -3 степень
Все, понял. Огромное спасибо за объяснение!
Не за что)
Вас заинтересует
2 года назад
2 года назад
2 года назад
3 года назад
9 лет назад