Ответы
Ответ дал:
0
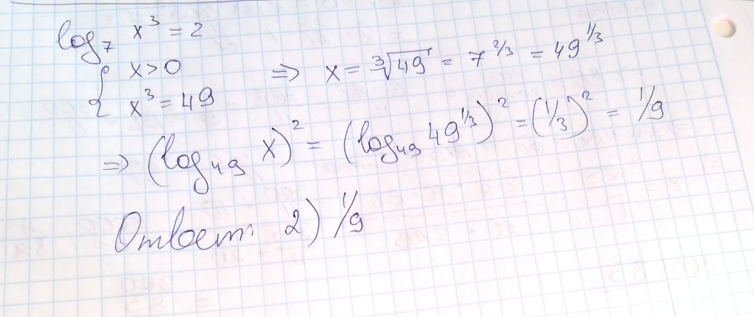
Смотри ответ на фотографии.
Приложения:

Ответ дал:
0
log(7)x³=2
3log(7)x=2
log(7)x=2/3
(log(49)x)²=(log(7)√x)²=(1/2*log(7)x)²=(1/2*2/3)²=(1/3)²=1/9
Ответ 2
3log(7)x=2
log(7)x=2/3
(log(49)x)²=(log(7)√x)²=(1/2*log(7)x)²=(1/2*2/3)²=(1/3)²=1/9
Ответ 2
Вас заинтересует
1 год назад
1 год назад
2 года назад
2 года назад
3 года назад
3 года назад
8 лет назад