Ответы
Ответ дал:
0
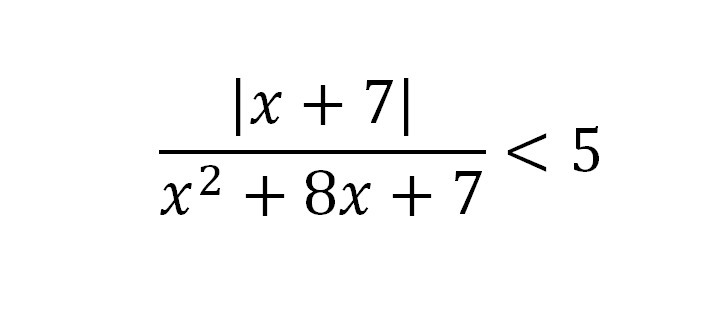
дробь сократима (квадратный трехчлен можно разложить на множители)
и осталось только учесть знак модуля, т.е. рассмотреть два промежутка))
и осталось только учесть знак модуля, т.е. рассмотреть два промежутка))
Приложения:
Ответ дал:
1
dffffffffffffffffffffff
Приложения:
Вас заинтересует
2 года назад
2 года назад
2 года назад
2 года назад
3 года назад
9 лет назад