• Предмет: Алгебра
  • Автор: igogo2004
  • Вопрос задан 9 лет назад

Перетворіть вираз -1 frac{3}{5} m^{4} n^{3}* (- frac{1}{2} m^{3} p^{6})^{3}   в одночлен стандартного вигляду

Приложения:

Ответы

Ответ дал: Dимасuk
0
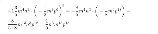
- 1 dfrac{3}{5} m^4n^3 cdot bigg  (-dfrac{1}{2} m^3 p^6 bigg )^3 = - dfrac{8}{5} m^4 n^3 cdot bigg (  -dfrac{1}{8} m^9 p^{18} bigg ) = \ \
 dfrac{8}{5 cdot 8} m^{13} n^3 p^{18} =   dfrac{1}{5} n^3 m^{13} p^{18}

Приложения:
Ответ дал: Аноним
0
1/5= 0,2
Ответ дал: Аноним
0
Ответы смотри внизу!!!!
Приложения:
Ответ дал: Dимасuk
0
Множители нужно писать в порядке возрастания.
Ответ дал: Аноним
0
А вот это точно необязательно. Что, хотите у меня ошибку найти?
Ответ дал: Аноним
0
Вот видишь, у меня стоит зелёная галочка, а значит, что не важен порядок степеней.
Вас заинтересует