Ответы
Ответ дал:
1
Ответ: 5)
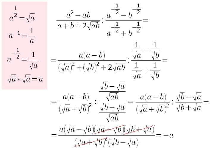
использована формула сокращенного умножения "разность квадратов":
a-b = (√a - √b)*(√a + √b)
использована формула сокращенного умножения "разность квадратов":
a-b = (√a - √b)*(√a + √b)
Приложения:
ramzilyagaf:
Спасибо!
на здоровье))
Вас заинтересует
2 года назад
2 года назад
2 года назад
3 года назад
3 года назад
9 лет назад