Ответы
Ответ дал:
1
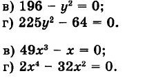
в) y²=196 y=+-√196 y=14 y=-14
г) y²=64/225 y=8/15 y=-8/15
в) x(49x²-1) x1=0 x2=√1/49=1/7 x3=-1/7
г) 2x²(x²-16)=0 x1=0 x2=4 x3=-4
г) y²=64/225 y=8/15 y=-8/15
в) x(49x²-1) x1=0 x2=√1/49=1/7 x3=-1/7
г) 2x²(x²-16)=0 x1=0 x2=4 x3=-4
Eira02:
Спасибо)
Ответ дал:
1
в)196-у²=0
у²=196
у=+14, -14.
г)225у²-64=0
225у²=64

в)49х³-х=0
х(49-х²)=0
х(7-х)(7+х)=0
х=0, х=7, х=-7
г)2х⁴-32х²=0
2х²(х²-16)=0
2х²(х-4)(х+4)=0
х=0, х=4, х=-4.
у²=196
у=+14, -14.
г)225у²-64=0
225у²=64
в)49х³-х=0
х(49-х²)=0
х(7-х)(7+х)=0
х=0, х=7, х=-7
г)2х⁴-32х²=0
2х²(х²-16)=0
2х²(х-4)(х+4)=0
х=0, х=4, х=-4.
Благадарю
Не за что).
Вас заинтересует
2 года назад
2 года назад
2 года назад
3 года назад
3 года назад