Ответы
Ответ дал:
1
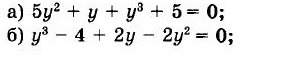
а) 5y² + y + y³ + 5 = 0
Вынесем общий множитель
y²(y+5) + y+5 = 0
(y+5) * (y² + 1) = 0
Произведение равно нулю, если один из множителей обращается в нуль, т.е.
y+5 = 0 откуда y = -5
y² + 1 = 0 - уравнение решений не имеет, т.к. левая часть уравнения принимает только положительные значения.
Ответ: -5.
y³ - 4 + 2y - 2y² = 0
Выносим общий множитель
y² ( y-2 ) + 2 ( y - 2 ) = 0
(y-2)(y² + 2) =0
y-2 =0 откуда y=2.
y² + 2 = 0 - решений не имеет.
Ответ: 2.
Вынесем общий множитель
y²(y+5) + y+5 = 0
(y+5) * (y² + 1) = 0
Произведение равно нулю, если один из множителей обращается в нуль, т.е.
y+5 = 0 откуда y = -5
y² + 1 = 0 - уравнение решений не имеет, т.к. левая часть уравнения принимает только положительные значения.
Ответ: -5.
y³ - 4 + 2y - 2y² = 0
Выносим общий множитель
y² ( y-2 ) + 2 ( y - 2 ) = 0
(y-2)(y² + 2) =0
y-2 =0 откуда y=2.
y² + 2 = 0 - решений не имеет.
Ответ: 2.
Вас заинтересует
2 года назад
2 года назад
2 года назад
2 года назад
3 года назад