• Предмет: Математика
  • Автор: Аноним
  • Вопрос задан 2 года назад

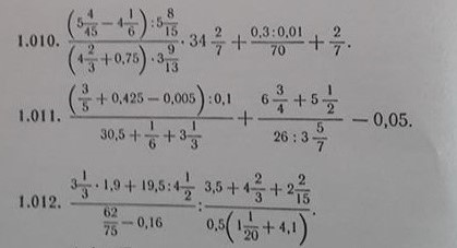
помогите решить примеры с 1 фото

Приложения:

Ответы

Ответ дал: Nastasya6831
1
примеры 10 и 11.......
Приложения:
Вас заинтересует