Ответы
Ответ дал:
0
Решение смотри на фотографии
Ответы:номер 547
а)3
б)три целых пять седьмых в)3 г)пять целых одна девятая
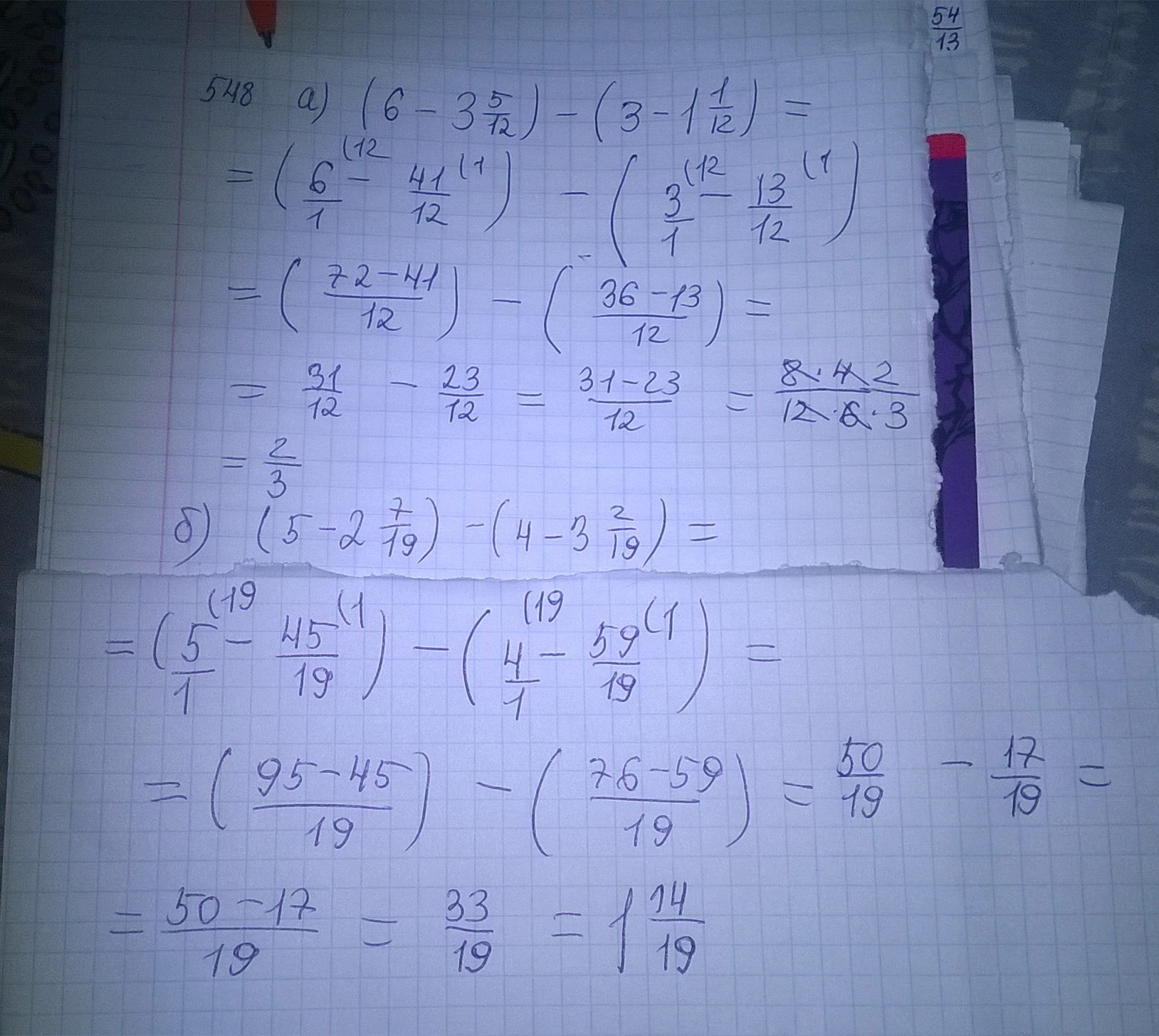
номер 548
а)2/3
б)одна целая четырнадцать девятнадцатых в) одна целая семь одиннадцатых г)67/20-17/20=50/20=2,5
Ответы:номер 547
а)3
б)три целых пять седьмых в)3 г)пять целых одна девятая
номер 548
а)2/3
б)одна целая четырнадцать девятнадцатых в) одна целая семь одиннадцатых г)67/20-17/20=50/20=2,5
Приложения:
Ответ дал:
0
а почему не все номера?
Ответ дал:
0
помогите сделать (в) и (г)
Ответ дал:
0
548
Ответ дал:
0
Сейчас сделаю)
Вас заинтересует
2 года назад
7 лет назад
10 лет назад
10 лет назад