• Предмет: Математика
  • Автор: эльвина65
  • Вопрос задан 9 лет назад

помогите пожалуста прошу очень

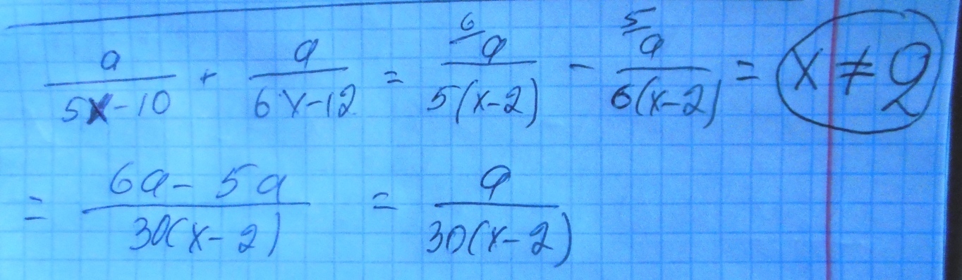
Приложения:

Ответы

Ответ дал: miron2077
0
!!!!!!!!!!!!!!!!!!!!!!!!!!!
Приложения:
Ответ дал: эльвина65
0
спасибо
Вас заинтересует