Ответы
Ответ дал:
0
Решение дано на фото.
Приложения:

Ответ дал:
0
1
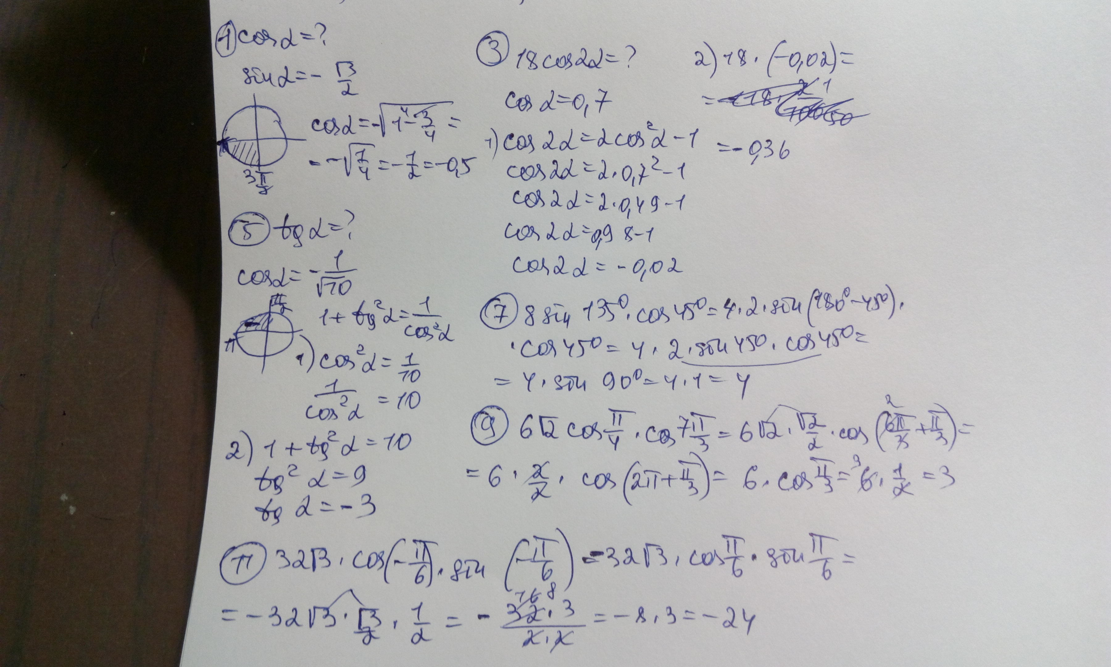
sina=-√3/2,π<a<3π/2
cosa=-√(1-sin²a)=-√(1-3/4)=-√(1/4)=-1/2
3
cosa=0,7
18cos2a=18*(2cos²a-1)=18*(2*0,49-1)=18*(0,98-1)=18*(-0,02)=-0,36
5
cosa=-1/√10,π/2<a<π
tg²a=1/cos²a -1=10-1=9
tga=-3
7
8sin135*cos45=8sin(180-45)cos45=8sin45*cos45=4sin90=4*1=4
9
6√2cosπ/4*cos7π/3=6√2cosπ/4*cos(2π+π/3)=6√2cosπ/4*cosπ/3=
=6√2*1/√2*1/2=3
11
32√3cos(-π/6)sin(-π/6)=16√3sin(-π/3)=16√3*(-√3/2)=-24
sina=-√3/2,π<a<3π/2
cosa=-√(1-sin²a)=-√(1-3/4)=-√(1/4)=-1/2
3
cosa=0,7
18cos2a=18*(2cos²a-1)=18*(2*0,49-1)=18*(0,98-1)=18*(-0,02)=-0,36
5
cosa=-1/√10,π/2<a<π
tg²a=1/cos²a -1=10-1=9
tga=-3
7
8sin135*cos45=8sin(180-45)cos45=8sin45*cos45=4sin90=4*1=4
9
6√2cosπ/4*cos7π/3=6√2cosπ/4*cos(2π+π/3)=6√2cosπ/4*cosπ/3=
=6√2*1/√2*1/2=3
11
32√3cos(-π/6)sin(-π/6)=16√3sin(-π/3)=16√3*(-√3/2)=-24
Приложения:

Вас заинтересует
2 года назад
7 лет назад
7 лет назад
9 лет назад
10 лет назад
10 лет назад