• Предмет: Математика
  • Автор: nastya55736
  • Вопрос задан 9 лет назад

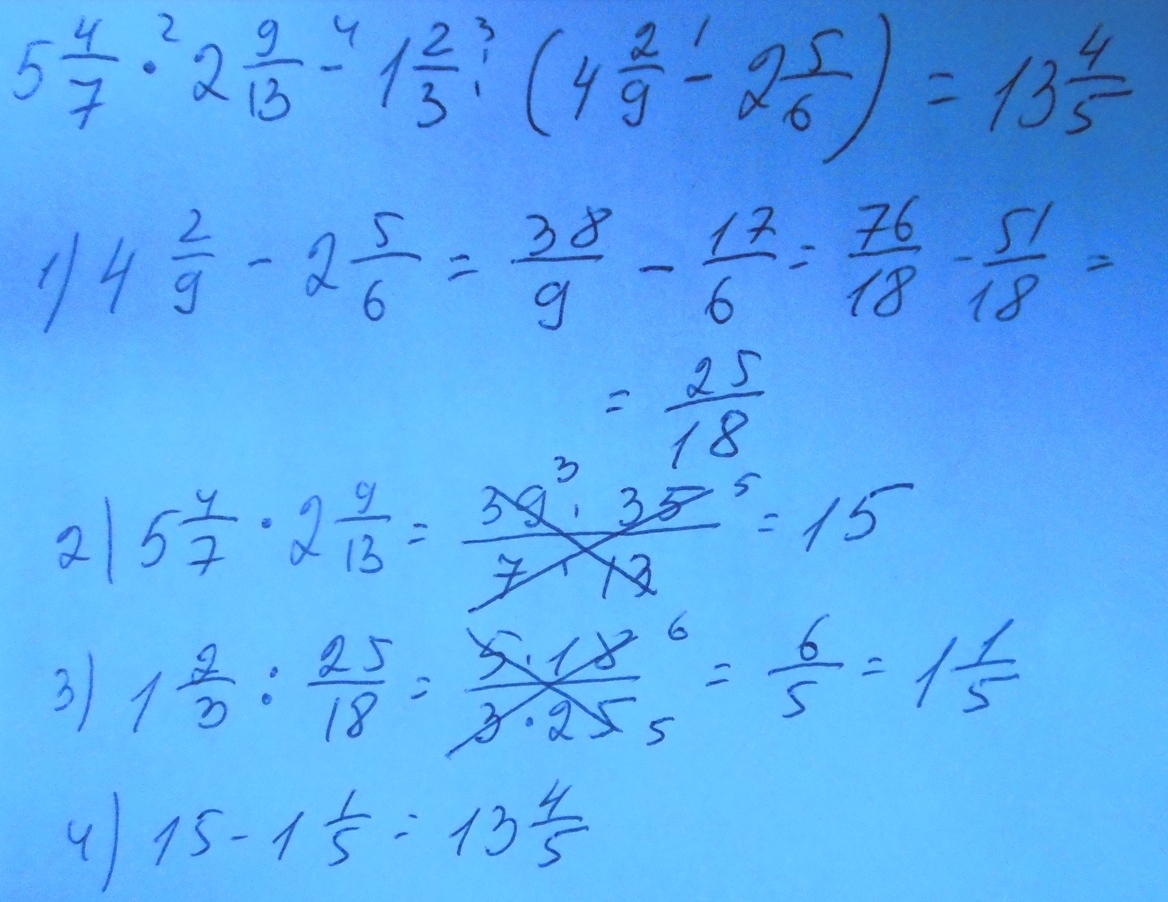
Помогите, пожалуйста, найти значение выражения!5 frac{4}{7} *2 frac{9}{13} -1 frac{2}{3} :(4 frac{2}{9} -2 frac{5}{6} )

Ответы

Ответ дал: miron2077
0
!!!!!!!!!!!!!!!!!!!!!
Приложения:
Вас заинтересует