Ответы
Ответ дал:
0
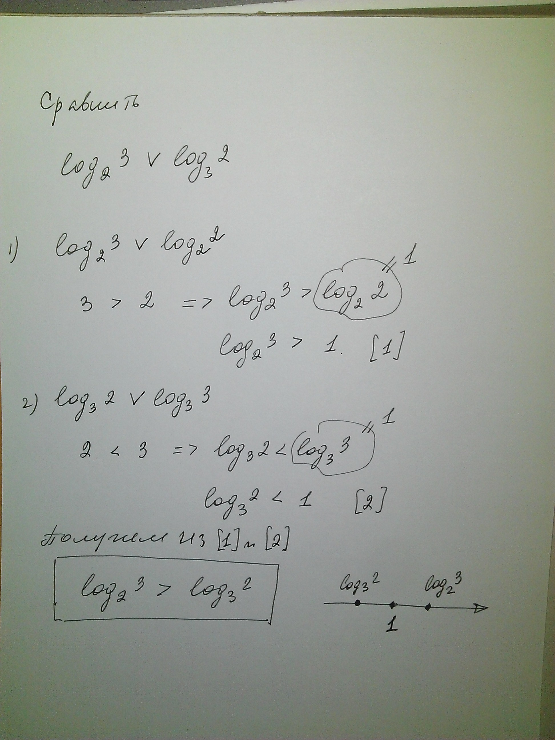
см.прикрепленный файл!
Приложения:
Ответ дал:
0
log₂3 = a; log₃2 = b.
Перепишем в другом виде:

Отсюда видно, что при возведении числа 2 в степень а получается большее число, а при возведении числа 3 в степень b получается меньшее число.
Отсюда делаем вывод, что a > b.
Значит, log₂3 > log₃2.
Перепишем в другом виде:
Отсюда видно, что при возведении числа 2 в степень а получается большее число, а при возведении числа 3 в степень b получается меньшее число.
Отсюда делаем вывод, что a > b.
Значит, log₂3 > log₃2.
Приложения:
Вас заинтересует
7 лет назад
7 лет назад
10 лет назад
10 лет назад