• Предмет: Алгебра
  • Автор: Mal160
  • Вопрос задан 9 лет назад

Помогите пожалуйста решить ❤️❤️❤️❤️❤️❤️

Приложения:

Ответы

Ответ дал: Глассаж
0
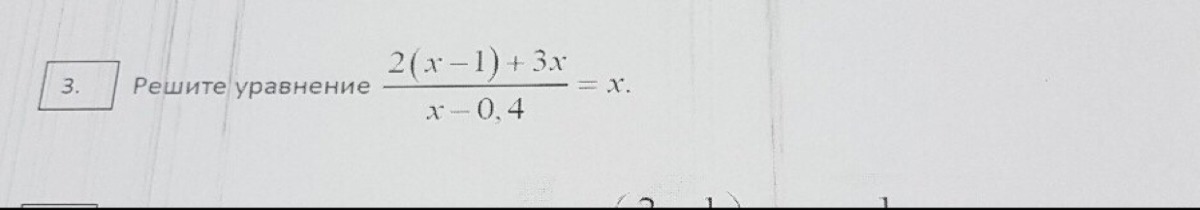
корень уравнения 5, х = 5
Приложения:
Ответ дал: Глассаж
0
хотя трёхэтажные дроби, как правило, плохая идея - я не представляю другого решения)
Ответ дал: Mal160
0
Спасибо
Вас заинтересует