Ответы
Ответ дал:
0
а)

б)

б)
Ответ дал:
0
б) и г)
дополнение к первому ответу...
дополнение к первому ответу...
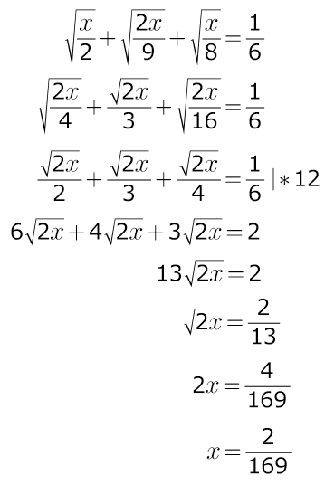
Приложения:


Вас заинтересует
2 года назад
2 года назад
6 лет назад
6 лет назад
9 лет назад
9 лет назад
10 лет назад
10 лет назад