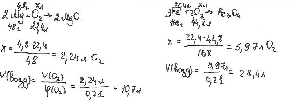
Определите объем воздуха (н. у), необходимый для сжигания:
а) 4.8 г магния до окисления магния
б) 22,4 г железа до Fe3O4
Ответы: а) 10.7 л б) 28.4 л
нужны решения, пожалуйста
Ответы
Ответ дал:
1
............................................
Приложения:

Вас заинтересует
1 год назад
2 года назад
3 года назад
3 года назад