Помогите пожалуйста! :) Выражения обведены. Задание: Найдите область определения выражения f(x)
Приложения:


Ответы
Ответ дал:
0
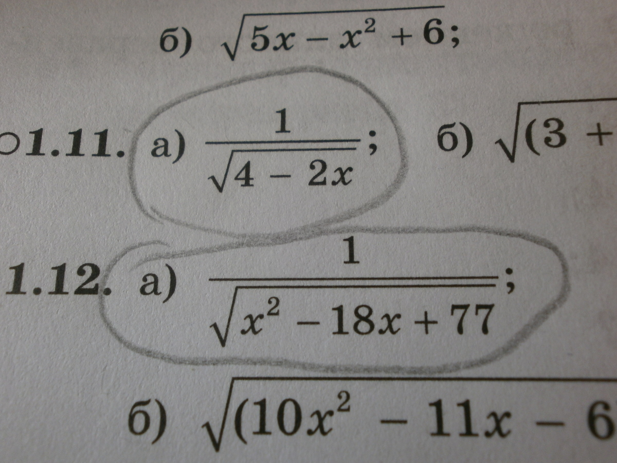
1) 4-2x>0
-2x>-4
x<2
2) x^2-18x+77>0
(x-7)(x-11)>0
x принадлежит от (минус бесконечности;7) и от (11; плюс бесконечность)
3) 1/((y-4)(3y+5))>=0
x1=4
x2=-5/3
решаем методом интервалов
отмечаем эти числа на числовой прямой, они выколоты так как в знаменателе, верхний правый угол + потом знаки чередуются, нам нужны промежутки со знаком+
Ответ
xпринадлежит (минус бесконечность;-5/3) и (4; плюс бесконечность)
-2x>-4
x<2
2) x^2-18x+77>0
(x-7)(x-11)>0
x принадлежит от (минус бесконечности;7) и от (11; плюс бесконечность)
3) 1/((y-4)(3y+5))>=0
x1=4
x2=-5/3
решаем методом интервалов
отмечаем эти числа на числовой прямой, они выколоты так как в знаменателе, верхний правый угол + потом знаки чередуются, нам нужны промежутки со знаком+
Ответ
xпринадлежит (минус бесконечность;-5/3) и (4; плюс бесконечность)
Вас заинтересует
8 лет назад
8 лет назад
10 лет назад
10 лет назад
10 лет назад