• Предмет: Алгебра
  • Автор: Alenka2304
  • Вопрос задан 9 лет назад

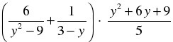
Упростите выражение пожалуйста!

Приложения:

Ответы

Ответ дал: Durashka63
0
вот....правда не уверена что правильно, но хоть что-то
Приложения:
Ответ дал: Alenka2304
0
Как мне сюда прислать фото?
Ответ дал: Durashka63
0
ой, это я не знаю...(
Ответ дал: Durashka63
0
ты выложи.... может я найду
Ответ дал: Alenka2304
0
Хорошо
Ответ дал: Alenka2304
0
https://znanija.com/task/24987745
Вас заинтересует