• Предмет: Геометрия
  • Автор: nnast
  • Вопрос задан 9 лет назад

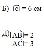
Нарисуйте векторы, если ...
(на отдельном листике нарисуйте, пожалуйста)

Приложения:

Ответы

Ответ дал: kowalewaeugeniy
0
длины отрезков в сантиметрах
Приложения:
Вас заинтересует