Ответы
Ответ дал:
0
вместо вопроса можешь написать "х"
Приложения:

Ответ дал:
0
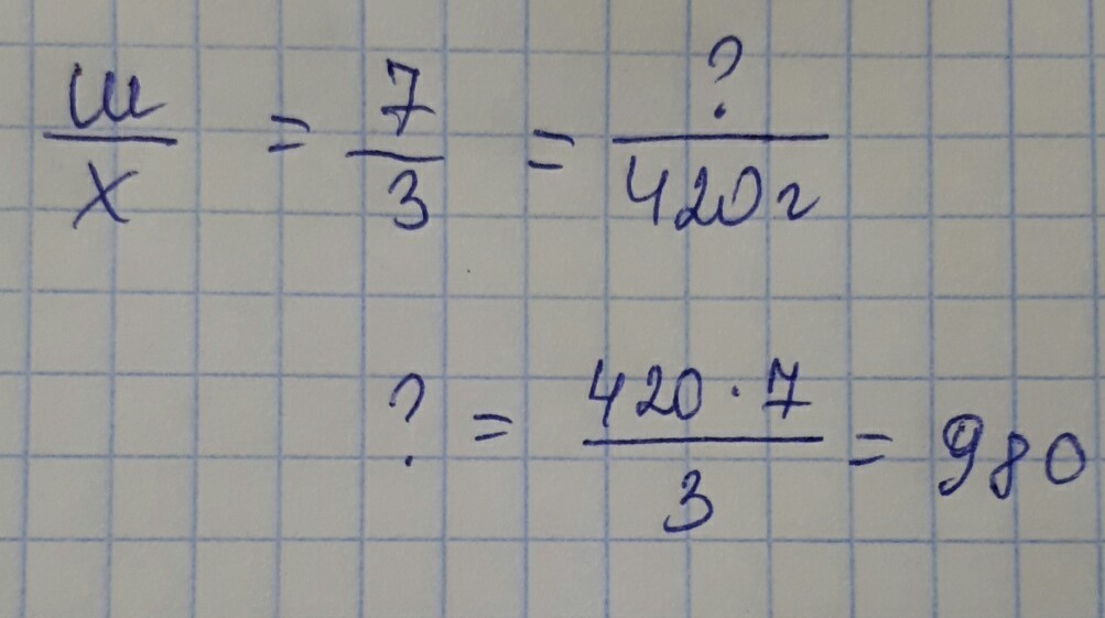
ой, я извиняюсь. не внимательно прочитала. Я посчитала массу шерсти. нужно прибавить массу шерсти и хлопка. 980+420=1400
Ответ дал:
0
ответ будет под буквой В.1400
Вас заинтересует
2 года назад
6 лет назад
6 лет назад
9 лет назад
10 лет назад
10 лет назад