• Предмет: Алгебра
  • Автор: Аноним
  • Вопрос задан 9 лет назад

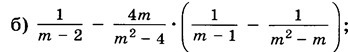
Помогите. Упростите выражение

Приложения:

Ответы

Ответ дал: 1234567891012158888
0
1/m-2 - 4m/m^2 - 4*(1/m-1) - 1/m^2-m) = 1/m-2 - 4m/m^2-4 * 1/m-1 -1/m2-m = 1-4*1/m-2*m^2-4*m-1

/-черта дроби
^-степень
Ответ дал: 1234567891012158888
0
1/m-2 - 4m/m^2 - 4*(1/m-1) - 1/m^2-m) = 1/m-2 - 4m/m^2-4 * 1/m-1 -1/m2-m = 1-4*1/m-2*m^2-4*m-1

/-черта дроби
^-степень
Вас заинтересует